Rabu, 17 Desember 2014

Lebih Dekat dengan Rafflesia Arnoldi


Bunga Rafflesia Arnoldi merupakan bunga terbesar di dunia, dan juga termasuk dalam kategori Langka. Bunga Raflesia ini terkenal dengan keunikanya, yaitu hanya merupakan miselium yang memparasit tumbuhan inang, tidak memiliki daun akan tetapi mampu menghasilkan bunga yang ukuranya sangat besar. Raflesia merupakan tumbuhan asli dari Indonesia yang mana hanya bisa di jumpai di daerah Kalimantan dan Sumatera.

KENAPA DINAMAKAN Rafflesia arnoldi?
Penamaan bunga raksasa ini tidak terlepas oleh sejarah penemuannya pertama kali pada tahun 1818 di hutan tropis Sumatera. Seorang pemandu yang bekerja pada Dr. Joseph Arnold yang menemukan bunga raksasa ini pertama kali. Dr. Joseph Arnold sendiri saat itu tengah mengikuti ekspedisi yang dipimpin oleh Thomas Stamford Raffles.
Jadi penamaan bunga Rafflesia arnoldi didasarkan dari gabungan nama Thomas Stamford Raffles sebagai pemimpin ekspedisi dan Dr. Joseph Arnold sebagai penemu bunga.


CIRI-CIRI BUNGA Rafflesia arnoldi :
1.    Bunganya berumah dua (Bunga jantan dan betina terpisah)
2.    Diameternya mencapai 100 cm
3.    Warnanya merah dan memiliki permukaan yang kasar
4.    Kuncup bunga memiliki ukuran  ± 5 cm yang membutuhkan waktu sampai 9 bulan untuk mekar
5.    Bunga Raflesia Arnoldi hanya memiliki masa mekar selama 4 hari


Setelah bunga di serbukan oleh serangga maka dibutuhkan waktu sekitar 7 bulan hingga menjadi buah. Buah bunga Rafflesia ini nantinya akan berisikan ribuan biji-bijian yang jumlahnya mencapai ribuan, ukuranya mencapai 0,5 mm. Bunga Rafflesia memiliki musim bunga yang sangat panjang, yaitu sepanjang tahun.

Sumber : 
http://id.wikipedia.org/wiki/Raflesia
http://alamendah.org/2011/03/16/mengenal-rafflesia-arnoldi-gambar-dan-cirinya/

Proses Terbentuknya Pelangi


Pelangi atau bianglala adalah gejala optik dan meteorologi berupa cahaya beraneka warna saling sejajar yang tampak di langit atau medium lainnya. Di langit, pelangi tampak sebagai busur cahaya dengan ujungnya mengarah pada horizon pada suatu saat hujan ringan. Pelangi juga dapat dilihat di sekitar air terjun yang deras.

TERBENTUKNYA PELANGI
Cahaya matahari adalah cahaya polikromatik (terdiri dari banyak warna). Warna putih cahaya matahari sebenarnya adalah gabungan dari berbagai cahaya dengan panjang gelombang yang berbeda-beda. Mata manusia sanggup menyerap paling tidak tujuh warna yang dikandung cahaya matahari, yang akan terlihat pada pelangi: merah, jingga, kuning, hijau, biru, nila, dan ungu.
Panjang gelombang cahaya ini membentuk pita garis-garis paralel, tiap warna bernuansa dengan warna di sebelahnya. Pita ini disebut spektrum warna. Di dalam spektrum warna, garis merah selalu berada pada salah satu sisi dan biru serta ungu di sisi lain, dan ini ditentukan oleh perbedaan panjang gelombang.
Pelangi tidak lain adalah busur spektrum warna besar berbentuk lingkaran yang terjadi karena pembiasan cahaya matahari oleh butir-butir air. Ketika cahaya matahari melewati butiran air, ia membias seperti ketika menembus prisma kaca dan keluar menjadi spektrum warna pelangi. Jadi di dalam tetesan air, kita sudah mendapatkan warna yang berbeda-beda berderet dari satu sisi ke sisi tetesan air lainnya. Beberapa dari cahaya berwarna ini kemudian dipantulkan dari sisi yang jauh pada tetesan air, kembali dan keluar lagi dari tetesan air. Cahaya keluar kembali dari tetesan air ke arah yang berbeda, tergantung pada warnanya. Warna-warna pada pelangi ini tersusun dengan merah di paling atas dan ungu di paling bawah pelangi.



Pelangi terlihat sebagai busur dari permukaan bumi karena terbatasnya sudut pandang mata, jika titik pandang di tempat yang tinggi misalnya dari pesawat terbang dapat terlihat sebagai spektrum warna yang lengkap yaitu berbentuk lingkaran. Pelangi hanya dapat dilihat saat hujan bersamaan dengan matahari bersinar, tapi dari sisi yang berlawanan dengan si pengamat. Posisi si pengamat harus berada di antara matahari dan tetesan air dengan matahari di belakang orang tersebut. Matahari, mata si pengamat, dan pusat busur pelangi harus berada dalam satu garis lurus.

   

Sumber:
http://www.ceritakecil.com/ilmu-pengetahuan-dasar/artikel/Bagaimana-pelangi-             terbentuk-2
http://id.wikipedia.org/wiki/Pelangi
http://putrasaimima.blogspot.com/2012/02/proses-terjadinya-pelangi.html

Bagaimana Petir Bisa Terjadi?


Petir atau halilintar adalah gejala alam yang biasanya muncul pada musim hujan di mana di langit muncul kilatan cahaya sesaat yang menyilaukan biasanya disebut kilat yang beberapa saat kemudian disusul dengan suara menggelegar sering disebut Guruh. Perbedaan waktu kemunculan ini disebabkan adanya perbedaan antara kecepatan suara dan kecepatan cahaya. Petir merupakan gejala alam yang bisa kita analogikan dengan sebuah kapasitor raksasa, dimana lempeng pertama adalah awan (bisa lempeng negatif atau lempeng positif) dan lempeng kedua adalah bumi (dianggap netral). Seperti yang sudah diketahui kapasitor adalah sebuah komponen pasif pada rangkaian listrik yang bisa menyimpan energi sesaat (energy storage). Petir juga dapat terjadi dari awan ke awan (intercloud), dimana salah satu awan bermuatan negatif dan awan lainnya bermuatan positif. 


Petir terjadi karena ada perbedaan potensial antara awan dan bumi atau dengan awan lainnya. Proses terjadinya muatan pada awan karena dia bergerak terus menerus secara teratur, dan selama pergerakannya dia akan berinteraksi dengan awan lainnya sehingga muatan negatif akan berkumpul pada salah satu sisi (atas atau bawah), sedangkan muatan positif berkumpul pada sisi sebaliknya. Jika perbedaan potensial antara awan dan bumi cukup besar, maka akan terjadi pembuangan muatan negatif (elektron) dari awan ke bumi atau sebaliknya untuk mencapai kesetimbangan. Pada proses pembuangan muatan ini, media yang dilalui elektron adalah udara. Pada saat elektron mampu menembus ambang batas isolasi udara inilah terjadi ledakan suara. Petir lebih sering terjadi pada musim hujan, karena pada keadaan tersebut udara mengandung kadar air yang lebih tinggi sehingga daya isolasinya turun dan arus lebih mudah mengalir. Karena ada awan bermuatan negatif dan awan bermuatan positif, maka petir juga bisa terjadi antar awan yang berbeda muatan. Petir pada alam merupakan peristiwa alami locatnya muatan muatan listrik diantara awan ke awan atau awan ke permukaan bumi. Persyaratan utama terjadinya locatan muatan elektron di awan dimulai dari pergerakan angin ke atas didalam awan Cumulus yang kuat. Dilaporkan kecepatan yang dapat dicapai mencapai 150 km/jam. Di dalam awan, uap uap air berkondensasi menjadi partikel air yang lebih kecil lagi namum partikelnya lebih stabil. Bila ketinggian awan Cumulus tersebut cukup tinggi, maka pergerakan angin didalam awan tersebut dapat mempunyai suhu dibawah 0 derajat celcius. Hal ini menyebabkan partikel air didalam awan membeku, membentuk partikel es. Melalui proses resublimasi, berubahlah fisik partikel air ini. Sejalan dengan waktu, bergabunglah beberapa partikel es menjadi partikel kumpulan es yang besar dan berat. Partikel salju ini akan jatuh karena daya gravitasi atas beratnya sendiri ke permukaan bumi. Pada stadium ini, terpecah beberapa kristal es yang lebih kecil dan ringan dari kumpulan kumpulan es yang lebih berat. Perpecahan ini memecah juga struktur elektron didalamnya. Hal ini mengakibatkan kumpulan es yang lebih berat akan jatuh ke lapisan awan dibawahnya dan kumpulan ini mempunyai muatan negative. Sedangkan partikel es yang terpisah dari kumpulan es berat, akan tertiup angin didalam awan ke arah lapisan atas awan. Hal ini menjadikan lapisan awan dibagian atas mempunyai muatan postive. Peristiwa ini mengakibatkan terkutubnya listrik di awan atas 2 kutub berbeda (positve dibagian atas dan negative dibagian bawah awan). Besarnya muatan atas terkutubnya listrik di awan bergantung dari volume dari awan tersebut.

Sumber:
http://maniafighter.blogspot.com/p/blog-page.html
http://www.ceritakecil.com/ilmu-pengetahuan-dasar/artikel/Mengapa-             Bisa-Terjadi-Petir-14

Anomali dalam Hukum Gravitasi

Peristiwanya terjadi pada tahun 1980 saat John Anderson bertanya-tanya apakah ada yang salah dengan hukum gravitasi? Laboratorium Propulsi mesin jet tempat fisikawan ini bekerja telah mempelajari data dari dua pesawat angkasa Pioneer 10 dan 11 yang telah menerbangi tata surya selama sepuluh tahun. Pesawat yang seharusnya terbang dengan kecepatan tetap 40.000 kilometer per jam ke ujung tata surya ini malah melambat. Walaupun sudah memperhitungkan kemungkinan gravitasi dari matahari dan planet yang dilalui tetap saja tidak ada jawabannya.

Bagaimana mungkin?
Saat itu Anderson berpikir penjelasannya mudah saja. Mungkin ada kerusakan pada pesawat atau perhitungannya yang salah. Anderson yang pemalu dan jarang berbicara tentu saja tidak mungkin mengadakan konfrensi pers yang menyatakan bahwa pesawat angkasa Amerika tidak menuruti hukum fisika. Anderson yang kini telah berumur 70 tahun hanya bergumam "Mungkin ada sesuatu yang belum saya pahami terjadi".

Selama bertahun-tahun, Walaupun sendirian dan banyak kritik yang bahkan mempertanyakan kemampuan matematikanya, 20 tahun kemudian penelitian Anderson membuahkan hasil. Pada bulan Oktober, Badan Antariksa Eropa merekomendasikan misi khusus ke luar angkasa untuk mencoba apakah penemuan Anderson mungkin dapat membuat buku-buku teks fisika ditulis ulang. Sejumlah ilmuwan bahkan berspekulasi kalau "Anomali pesawat Pioneer" dapat menyibak misteri seperti keberadaan "dark matter" ataupun keberadaan kekuatan antar dimensi yang dikemukakan oleh teori "string".

Tetapi kepada publik kami memilih untuk tidak membesar-besarkan hal ini dahulu, kata Slava G. Turyshev, mantan ilmuwan Rusia yang ikut meneliti anomali ini. Yah apapun yang terjadi Anderson telah memasukkan namanya kedalam sejarah. Gravitasi adalah salah satu kekuatan alam yang sangat banyak dipelajari. Adalah Newton yang pada abad ke-17 mengatakan bahwa setiap benda di alam semesta saling tarik menarik secara proporsional.

Einsten pada tahun 1915 menyempurnakan teori ini dengan mengatakan bahwa benda-benda yang lebih kecil ditarik oleh benda-benda yang lebih besar dengan pengandaian pada trampolin untuk melompat dengan bola bowling.

"Saya mulai mengamati adanya anomali percepatan saat pesawat mendekati Matahari", kata Anderson yang berarti pesawat ini melambat. Anomalinya kecil saja, hanya 8x10 -8 cm/s2 tetapi apabila dikonversi untuk perjalanan setahun menjadi 12.800 kilometer, sebuah kesalahan kecil untuk pesawat yang mampu menempuh perjalanan sejauh 350 juta kilometer itu. Oh ya, anomalinya sepersepuluh milyar lebih lemah dari gravitasi Bumi.

Kini setelah 20 tahun pesawat ini meluncur, kesalahannya sudah mencapai 400.000 kilometer yang berarti sejarak Bumi ke Bulan. Saat pertama kalinya fenomena ini teramati, Anderson mengira bahwa radiasi dan hawa panas Matahari-lah penyebabnya, atau mungkin juga kesalahan mekanis di pesawat. Tertuduh utama adalah kebocoran gas yang diikuti oleh pelepasan energi dari generator. Tetapi sepertinya tidak mungkin.

"Dia masih menggaruk kepalanya" saat pertemuan di Los Alamos tahun 1994 saat pembicara, Michael Martin Nieto bertanya pada acara update fisika tahunan, "Apakah ada lagi yang mau menambahkan?"
"Yah, saya ada masalah dengan pesawat Pioneer", kata Anderson.
"Saya hampir jatuh dari kursi", kata Nieto.

Saat itulah Anomali pesawat Pioneer diperdengarkan dan ikut menarik beberapa ilmuwan muda untuk menelitinya. Pesawat Pioneer 10 terakhir kalinya mengontak Bumi pada Januari 2003.

Sumber : http://budakfisika.blogspot.com/2008/10/anomali-dalam-hukum-gravitasi.html

METAMORFOSIS

Metamorfosis adalah suatu proses perkembangan biologi pada hewan yang melibatkan perubahan penampilan fisik dan/atau struktur setelah kelahiran atau penetasan. Perubahan fisik itu terjadi akibat pertumbuhan sel dan differensiasi sel yang secara radikal berbeda. Metamorfosis ini dibagi ke dalam dua bagian yakni metamorfosis sempurna dan juga metamorfosis yang tidak sempurna. Beberapa serangga, amfibi, mollusca, crustacea, echinodermata, dan tunicata mengalami proses metamorfosis, yang biasanya (tapi tidak selalu) disertai perubahan habitat atau kelakuan.

Apa itu metamorfosis sempurna? 

        Metamorfosis sempurna merupakan jenis perubahan hewan yang melalui 4 tahapan pertumbuhan dan perubahan, yakni: Telur ---> Larva --> Pupa --> Dewasa. Metamorfosis ini disebut juga dengan istilah holometabola atau holometabolisme. Adapun contoh hewan yang dikategorikan mengalami metamorfosis sempurna adalah kupu-kupu dan katak.
Pada kupu-kupu, sebelum menjadi serangga cantik dan menawan, ia terlebih dahulu harus melalui serangkaian fase perubahan yang dimulai dari telur yang kemudian menetas dan menjadi larva. Pada umumnya larva tersebut, seiring perkembangannya, mengalami 4 transformasi warna mulai dari hitam dengan campuran warna kuning, kemudian kuning dengan campuran warna putih, kemudian selanjutnya menjadi telur dengan warna biru yang pekat dan terakhir menjadi warna hitam atau dan juga terkadang kuning. Proses perubahan warna telur ini dikenal dengan nama molting atau perubahan yang mencakup warna juga bentuk fisik.
Metamorfosis sempurna pada kupu-kupu


Metamorfosis sempurna pada kupu-kupu kemudian berlanjut. Larva tersebut tak hanya mengalami perubahan warna tetapi juga perubahan bentuk fisik atau ukuran. Seiring perumbuhannya larva tersebut akan semakin besar dan terus berkembang menjadi instar sebelum kemudian menjadi apa yang disebut dengan nama pupa. Pada tahapan pupa inilah proses pembentukan susunan kerangka hewan dewasa terjadi. Setelah beberapa saat maka pupa pun menjelma menjadi kupu-kupu cantik yang kita kenal selama ini.

Apa itu metamorfosis tidak sempurna? 

Metamorfosis tidak sempurna adalah metamorfosis yang melalui tahap telur yang menetas menjadi nimfa, kemudian tumbuh dan berkembang menjadi imago (dewasa).
Nimfa adalah hewan muda yang mirip dengan hewan dewasa tetapi berukuran lebih kecil dengan perbandingan tubuh yang berbeda. Nimfa akan mengalami molting (pergantian kulit), setiap kali setelah molting mahluk hidup itu kelihatan lebih mirip dengan hewan dewasa. 
Contoh metamorfosis tidak sempurna adalah jangkrik, belalang, kecoa. 

Metamorfosis tidak sempurna pada kecoa

Metamorfosis tidak sempurna pada belalang
Sumber : http://id.wikipedia.org/wiki/Metamorfosis

THE BLACK HOLE

Lubang hitam (Black Hole) adalah bagian dari Ruang Waktu yang merupakan gravitasi paling kuat, bahkan cahaya tidak bisa kabur. Teori Relativitas Umum memprediksi bahwa butuh massa besar untuk menciptakan sebuah Lubang Hitam yang berada di Ruang Waktu. Di sekitar Lubang Hitam ada permukaan yang di sebut Event Horizon. Lubang ini disebut "hitam" karena menyerap apapun yang berada disekitarnya dan tidak dapat kembali lagi, bahkan cahaya. Secara teoritis, lubang hitam dapat memliki ukuran apa pun, dari mikroskopik sampai ke ukuran alam raya yang dapat diamati. Teori Medan Quantum dalam Ruang-waktu melengkung memprediksi bahwa Event Horizon memancarkan radiasi disekitarnya dengan suhu yang terbatas. Suhu ini berbanding terbalik dengan massa Lubang hitam, sehingga sulit untuk diamati Lubang hitam bermassa bintang atau lebih.


ASAL MULA LUBANG HITAM
Lubang Hitam tercipta ketika suatu obyek tidak dapat bertahan dari kekuatan tekanan gaya gravitasinya sendiri. Banyak obyek (termasuk matahari dan bumi) tidak akan pernah menjadi lubang hitam. Tekanan gravitasi pada matahari dan bumi tidak mencukupi untuk melampaui kekuatan atom dan nuklir dalam dirinya yang sifatnya melawan tekanan gravitasi. Tetapi sebaliknya untuk obyek yang bermassa sangat besar, tekanan gravitasi-lah yang menang.


Di California, Astronom berupaya mengungkap misteri lubang hitam raksasa. Menggunakan bantuan Nuclear Spectroscopic Telescope Array (NuSTAR), mereka mencoba mengukur kecepatan putar lubang hitam supermasif yang terletak di pusat galaksi spiral NGC 1365.
Dilansir Scienceagogo, Kamis (28/2/2013), lubang hitam supermasif ini berputar dengan cepat mendekati kecepatan cahaya. Astronom ingin mengetahui seberapa kencang putaran lubang hitam raksasa, sehingga mampu "menghisap" objek yang berada di sekitarnya.
"Ini merupakan pertama kalinya astronom bisa mengukur secara akurat tentang putaran lubang hitam supermasif," ujar peneliti dari Harvard-Smithsonian Center for Astrophysics, Guido Risaliti. Menurutnya, perputaran lubang hitam ini memberikan petunjuk tentang apa yang terjadi di masa lalu, serta mengetahui evolusi galaksi induknya.
"Putaran lubang hitam merupakan sebuah memori, rekaman mengenai sejarah masa lalu dari galaksi secara keseluruhan," tutur Guido. Peneliti juga bekerja bersama XMM-Newton, sehingga NuSTAR mampu melihat energi sinar-X dengan lebih luas hingga menembus lebih dalam di sekitar area lubang hitam.
Peneliti menjelaskan, lubang hitam memiliki massa dari jutaan hingga miliaran kali lipat dari ukuran Matahari. Awalnya, lubang hitam diyakini berbentuk benih kecil dan kemudian tumbuh besar dengan "menelan" bintang-bintang dan gas di galaksi induk mereka.
"Mengukur putaran lubang hitam supermasif merupakan hal mendasar untuk memahami sejarah masa lalu dan galaksi induknya," terangnya. Mempelajari lubang hitam supermasif ini juga bisa dikaitkan dengan teori relativitas Einstein dalam kondisi ekstrem.
Teori ini menjelaskan bagaimana gravitasi mempengaruhi struktur waktu di luar angkasa. Tim peneliti juga akan mempelajari bagaimana kondisi lubang hitam dari waktu ke waktu.

Jumat, 12 Desember 2014

Cangkang Kepiting Untuk Membuat Elektroda Karbon



Cangkang kepiting memberikan suatu template yang murah dan nyaman guna membuat elektroda karbon yang berperforma tinggi dalam penyimpanan energi dan konversinya, kata para ilmuwan Cina.
           Bahan karbon mempunyai potensi aplikasi yang sangat banyak, termasuk elektroda – elektroda pada superkapasitor dan sel – sel bahan bakar. Struktur porinya dikenal dapat mempengaruhi properti physicokimiawinya dan secara normal dikontrol dengan menggunakan suatu template yang keras dan berpori seperti zeolite atau silika. Namun proses ini biasanya melibatkan penggunaan asam hydrofluoric guna menghilangkan beberapa template-nya, yang mana dapat saja komplek dan mahal.
Sebuah kelompok peneliti dari Fudan University, dipimpin oleh Yong-Yao Xia, telah mendemonstrasikan bahwa cangkang kepiting mempunyai struktur barisan berpori pada tingkat mikroskopisnya. Dengan menyelidiki struktur unik ini, mereka telah menghasilkan susunan nanofiber karbon berpori dengan mengkombinasikan template cangkang kepiting yang keras dengan metode pen-template-an yang dibuat lunak. ‘Beberapa template biologis pada umumnya sangat banyak, dapat diperbaharui, murah dan ramah lingkungan dibandingkan dengan template buatan,’ jelas Xia.
Susunan nanofiber karbon berpori dapat dibuat dengan menggunakan cangkang kepiting sebagai template-nya. Setelah pembakaran cangkang kepiting di udara, template berpori utamanya terdiri dari kalsium karbonat. Dengan menambahkan template copolymer yang lunak dan resol terdahulu membentuk kerangka karbonnya. Dengan pemanasan dibawah gas nitrogen menghilangkan template yang lunak dan template yang keras dapat dilarutkan pada asam hydrochloric.
‘Template cangkang kepiting yang keras tidak hanya mudah untuk dipindahkan tetapi berpori secara hirarkinya,’ kata Rui Zhang, seorang ahli pada bahan karbon berpori pada Shanghai Institute of Technology. Susunan karbon nanofiber yang ter-template menyimpan tingkat hirarki keporiannya, dengan membentuk pori – pori dengan tiga ukuran. Hasil terbesar dari pengemasan nanofiber tersebut, pori – pori medium dari ruang hampa diantara nanofiber dan naofiber karbon mereka berisi pori – pori yang paling kecil.
Struktur porinya sangat sesuai untuk penyimpanan muatan oleh adsorpsi/desorpsi ion sebagai bahan elektroda bagi superkapasitor atau katalis platinum/palladium yang diisikan pada aplikasi sel bahan bakar, kata Xia. Dengan dibantu oleh area permukaan yang besar dan struktur kompleknya, bahan dari Xia menunjukkan hasil yang menakjubkan pada kedua kasus.
Tim Xia sekarang ini menggunakan cangkang kepiting guna men-template-kan bahan berpori lainnya sama baiknya dengan menyelidiki template alternatif dari sisik ikan.



Ilmuwan Temukan Planet Einstein

Ilmuwan berhasil menemukan satu lagi planet alien alias planet yang berada di luar Tata Surya. Planet tersebut dinamai Kepler 76b serta punya sebutan Planet Einstein. Planet Einstein adalah planet gas panas yang ukurannya 25 persen lebih besar dari Jupiter. Planet ini berjarak 2000 tahun cahaya dari Bumi. Planet ini berjarak sangat dekat dengan bintangnya. Lingkungannya amat panas, suhunya mencapai 1982 derajat Celsius. Sementara, satu tahun di planet ini setara dengan 1,5 hari di Bumi.
Ilmuwan menyebut Kepler 76-b sebagai planet Einstein karena terkait proses penemuannya yang didasarkan pada pemahaman tentang relativitas Einstein. Teknik penemuan planet terbaru itu pertama kali dikemukakan oleh Avie Loeb dari Harvard Smithsonian Center for Astrophysics (CfA) pada tahun 2003. Dengan teknik ini, penemuan planet dilakukan dengan melihat perubahan kecil pada bintang akibat planet yang mengelilinginya dan perubahan jaraknya relatif terhadap Bumi. Perubahan yang dilihat antara lain peningkatan intensitas cahaya bintang akibat jaraknya yang lebih dekat terhadap Bumi dan peredupannya saat menjauh.
Perubahan lain yang dilihat adalah pelebaran kenampakan bintang hingga menyerupai football akibat gaya tarik planet yang mengelilinginya. Pelebaran juga menyebabkan peningkatan intensitas cahaya.
Sementara, hal terakhir yang dilihat adalah cahaya bintang yang dipantulkan oleh planet yang mengelilinginya. "Kami mendeteksi efek yang sangat kecil. Kami butuh pengukuran dengan akurasi tinggi untuk melihat kecerlangan bintang, hingga skala bagian per juta," kata David Latham dari CfA. Simchon Faigler dari Tel Aviv University di Israel yang juga terlibat studi menuturkan bahwa hal pengukuran dimungkinkan karena data memadai yang telah dikoleksi wahana Kepler. Tsevi Mazeh dari Tel Aviv Unicersity seperti dikutip Physorg, Senin (13/5/2013), mengatakan, "Ini pertama kalinya aspek teori relativitas Einstein dipakai untuk menemukan planet."
Penemuan planet biasanya dilakukan dengan metode transit, dengan melihat peredupan cahaya bintang saat ada planet melewati mukanya, atau teknik radial velocity. Walau tak mampu menemukan planet seukuran Bumi, teknik baru ini memberikan kelebihan. Misalnya, penemuan planet alien tak harus menunggu adanya planet yang transit di muka bintangnya. Penemuan Planet Einstein dipublikasikan di Astrophysical Journal, pada Senin kemarin.

Mengapa Aurora Bisa Terjadi?

Fenomena unik yang seringkali terjadi pada langit malam yang gelap tiba-tiba menjadi terang benderang di belahan bumi utara terutama Alaska dianggap sebagian orang sebagai peristiwa yang mengandung unsur-unsur kepercayaan kuno. Fenomena ini biasa dikenal dengan ‘Aurora’. Aurora biasanya muncul dengan warna hijau, merah, biru atau lembayung. Orang-orang kuno menghubung-hubungkan munculnya fenomena alam itu dengan penyakit dan peperangan. Aurora berwarna merah terang pernah dianggap sebagai “kolam darah” para pejuang yang gugur dalam peperangan. di North Country, Inggris, aurora dikenal sebagai “lembing terbakar”. Sebelum revolusi perancis meletus, sebuah aurora muncul. Penduduk Skotlandia dan Inggris mengaku mendengar suara pertempuran dan melihat peperangan di angkasa. Pada tanggal 24 Februari 1716, berbarengan dengan kematian James Ratcliffe, Earl Derwentwater terakhir, muncul aurora berwarna merah terang dan bergerak cepat di langit. Sejak saat itu aurora itu dikenal sebagai “Cahaya Lord Derwenwater” (www.tripod.lycos.com).

Aurora 1
Aurora 2

Orang Eskimo atau suku Inuit percaya fenomena alam yang terkenal dengan sebutan Aurora Borealis atau Cahaya Utara itu muncul karena para arwah sedang bermain bola–memakai tengkorak singa laut–di angkasa. Mereka juga percaya orang yang terlalu sering menonton “pertandingan” itu akan menjadi gila (www.tempointeraktif.com). Terlepas dari kepercayaan kuno tersebut, sebenarnya fenomena aurora dapat dijelaskan menurut hukum fisika. Fenomena ini merupakan peristiwa yang umum terjadi di bumi dan planet-planet lainnya khususnya di daerah kutub yang merupakan daerah dengan medan magnet yang kuat.

PENGERTIAN AURORA
Aurora adalah fenomena pancaran cahaya yang menyala-nyala pada lapisan ionosfer dari sebuah planet sebagai akibat adanya interaksi antara medan magnetik yang dimiliki planet tersebut dengan partikel bermuatan yang dipancarkan oleh matahari (angin matahari) (en.wikipedia.com).

PENYEBAB TERJADINYA AURORA

Aurora adalah cahaya yang tercipta di udara yang disebabkan oleh atom-atom dan molekul yang bertumbukan dengan partikel-partikel bermuatan, terutama elektron dan proton yang berasal dari matahari. Partikel-partikel tersebut terlempar dari matahari dengan kecepatan lebih dari 500 mil per detik dan terhisap medan magnet bumi di sekitar kutub Utara dan Selatan. Warna-warna yang dihasilkan disebabkan benturan partikel dan molekul atau atom yang berbeda. Misalnya, aurora hijau terbentuk oleh benturan partikel elektron dengan molekul nitrogen. Aurora merah terjadi akibat benturan antara partikel elektron dan atom oksigen (www.tripod.lycos.com). 
Bagian penting dari mekanisme aurora adalah “angin matahari”, yaitu sebuah aliran partikel yang keluar dari matahari. Angin matahari menggerakkan sejumlah besar listrik di atmosfer (Sabuk Van Allen). Energi ini akan mempercepat partikel ke atmosfer bagian atas yang kemudian akan bertabrakkan dengan berbagai gas. Hasilnya adalah warna-warna di angkasa yang bergerak-gerak. Tekanan listrik mengeluarkan molekul gas menjadi keadaan energi yang lebih tinggi, yang mengakibatkan lepasnya foton. Warna tergantung pada frekuensi tumbukkan antara partikel-partikel dan gas-gas. Mekanisme ini hampir sama dengan nyala lampu berpendar atau lampu neon (www.tripod.lycos.com).


Tusuk Gigi Bisa Jadi Pendeteksi Boraks

Stick Of Borax Detector adalah alat berupa tusuk gigi yang dapat digunakan untuk mendeteksi adanya boraks dalam makanan. Dua orang pelajar putri asal Semarang mendapat medali emas dalam acara National Young Inventors Award atas penemuan mereka yaitu Stick Of Borax Detector.
Stick Of Borax Detector
Dayu Laras Wening dan Luthfia Adila kedua siswi dari SMAN 3 Semarang yang menemukan alat ajaib tersebut mengatakan bahwa untuk mengetahui sebuah makanan bisa mengandung unsur boraks atau tidak ialah dengan cara menusukkannya pada makanan itu sendiri, selanjutnya bilamana makanan itu terdapat boraks maka warna tusuk gigi ajaib itu akan langsung berubah warna dalam hitungan beberapa detik saja.
“Ditunggu hanya maksimal lima detik, jika nanti warna tusuk giginya berubah merah maka berarti makanan itu mengandung borax”
- Dayu Laras Wening dan Luthfia Adila -
Untuk menciptakan alat tersebut cukup sederhana yaitu mengandalkan unsur alami berupa tanaman kunyit. Di dunia sains tanaman kunyit memang sudah diteliti mampu dipergunakan sebagai detektor boraks pada berbagai makanan dengan cara membuat larutan kunyit/ ekstrak kunyit.
Kita sendiri sebenarnya dapat dengan mudah mengetahui bagaimana cara sederhana untuk menguji sebuah makanan apakah mengandung boraks ataupun tidak, dengan beberapa langkah berikut :
SIAPKAN BAHAN – BAHAN  :

  1. Kunyit
  2. Boraks ( biasanya berwujud zat padat bubuk berwarna putih / Sodium tetraborate decahydrate )
  3. Wadah / Piring kecil / Cawan
  4. Pisau
  5. Alat penumbuk / penghalus
  6. Kain kasa
  7. Pipet / alat penetes
  8. Air bening
  9. Bahan makanan yang ingin diuji ( misalnya bakso, mie, kerupuk, dll. )

INSTRUKSI :

  1. Buatlah larutan boraks, dengan mencampur air bening dengan bubuk boraks dan diaduk rata, sisihkan
  2. Buatlah larutan kunyit, kupas kunyit lalu diparut halus atau ditumbuk kemudian campur dengan air bening dan gunakan kain kasa untuk mengambil air perasan kunyit / ekstrak air kunyit, sisihkan
  3. Ambil cawan kosong, isi dengan 5 tetes larutan boraks dan 5 tetes larutan ekstrak kunyit. Aduk rata agar tercampur, maka nanti akan didapat warna merah kecoklatan / merah gelap.
  4. Ambil sampel makanan yang akan diuji dan tumbuk hingga halus
  5. Teteskan beberapa air ekstrak kunyit keatas makanan yang telah dihaluskan tadi, apabila warna sampel makanannya berubah menjadi merah kecoklatan itu berarti bahan makanan tersebut mengandung boraks.
Inilah salah satu manfaat kunyit, tumbuhan yang biasa kita gunakan sehari-hari sebagai campuran bumbu masakan maupun sebagai  jamu dan obat-obatan ternyata bisa digunakan untuk detektor boraks. Kunyit yang mengandung zat kurkumin ( unsur kimia yang membentuk warna kuning pada kunyit ) merupakan indikator untuk menentukan kandungan boraks di sebuah makanan.

“Pada kondisi asam, kurkumin akan bewarna kuning, dan dalam keadaan basa akan bewarna merah kecoklatan  sehingga air kunyit dapat dijadikan indikator adanya asam basa. Boraks berada dalam bentuk senyawa yang bersifat basa, sehingga bila tercampur dengan kurkumin akan menimbulkan senyawa baru yang disebut boro-kurkumin. Senyawa ini bewarna merah kecoklatan”
Jadi, dengan adanya tusuk gigi yang dapat digunakan sebagai alat pendeteksi boraks dalam makanan, diharapkan kita bisa menjadi lebih selektif memilih makanan yang akan kita konsumsi. 

Selasa, 20 Mei 2014

Laporan Praktikum Fluida "SUHU DAN VISKOSITAS"

LAPORAN PRAKTIKUM FLUIDA

SUHU DAN VISKOSITAS



Oleh:
          Esti Anugraheni M.                         (12030654056)
          Huni Hindrati                                  (12030654212)
          Suryatin Ardiningsih                       (12030654225)
          M. Martha Ayuhans                        (12030654226)
          Silvia Haryanti                                (12030654229)
           Pendidikan Sains B 2012


UNIVERSITAS NEGERI SURABAYA
FAKULTAS MATEMATIKA DAN ILMU PENGETAHUAN ALAM
PROGRAM STUDI PENDIDIKAN  SAINS

2014




ARCHIMEDES DAN MASSA JENIS
ABSTRAK


Telah dilakukan percobaan pada Senin, 12 Mei 2014 di Laboratorium Pendidikan Sains Unesa. Percobaan yang kami lakukan bertujuan untuk menyelidiki pengaruh suhu fluida terhadap kecepatan jatuhnya benda. Metode yang kami lakukan adalah mengukur diameter kelereng, menimbang massa kelereng, mendinginkan minyak goreng hingga mencapai suhu 20°C, memasukkan kelereng ke dalam minyak goreng dan mencatat waktu yang ditempuh kelerang dengan jarak 50 cm, menunggu suhu minyak goreng naik sampai 25°C, lalu melakukan kegiatan yang sama untuk mendapat waktu tempuh kelereng. Memanaskan minyak goreng sampai suhu 40°C dan melakukan kegiatan yang sama. Mengulangi langkah yang sama dengan suhu 35°C dan 30°C. Hasil yang kami dapatkan adalah bahwa suhu mempengaruhi besarnya kecepatan jatuhnya benda. Semakin tinggi suhu zat cair, maka semakin kecil viskositas zat cair tersebut. Kecepatan benda ketika dijatuhkan ke dalam zat cair yang sudah dipanaskan menjadi semakin cepat karena dipengaruhi oleh kenaikan temperature dan gravitas bumi sehingga waktu tempuh benda semakin sedikit. Hasil yang kami dapatkan sudah sesuai dengan teori yaitu tingkat kekentalan suatu fluida juga bergantung pada suhu. Semakin tinggi suhu zat cair, semakin kecil viskositas zat cair tersebut. Sebaliknya, semakin tinggi suhu suatu zat gas, semakin kecil viskositas zat gas tersebut (Rosiana, 2005).



BAB I
PENDAHULUAN


      A.    Latar Belakang
Setiap fluida, baik gas maupun cairan, memiliki suatu sifat yang dikenal sebagai viskositas. Viskositas dapat dinyatakan sebagai tahanan aliran fluida yang merupakan gesekan antara molekul – molekul cairan satu dengan yang lain. Suatu jenis cairan yang mudah mengalir, dapat dikatakan memiliki viskositas yang rendah, dan sebaliknya bahan-bahan yang sulit mengalir dikatakan memiliki viskositas yang tinggi. Viskositas pada zat cair disebabkan oleh adanya gaya kohesi yaitu gaya tarik menarik antara molekul sejenis (Sarojo, 2009).
Prinsip viskositas ini dapat digunakan dalam proses pemisahan minyak dengan air. Kekentalan suatu zat cair dapat dihitung dengan hukum Stokes. Viskositas cairan turun dengan naiknya temperatur. Pemanasan zat cair menyebabkan molekul-molekulnya memperoleh energi. Molekul-molekul cairan bergerak sehingga gaya interaksi antar molekul melemah. Dengan demikian viskositas cairan akan turun dengan kenaikan temperatur.
Dengan melakukan percobaan ini, kita akan mengetahui pengaruh suhu terhadap kecepatan jatuhnya benda yang akan berpengaruh terhadap besarnya viskositas.

    B.     Rumusan Masalah
     Bagaimana pengaruh suhu fluida terhadap kecepatan jatuhnya benda?

    C.    Tujuan
    Menyelidiki pengaruh suhu fluida terhadap kecepatan jatuhnya benda.

    D.    Hipotesis
    Semakin tinggi suhu fluida maka semakin besar kecepatan jatuhnya benda.




BAB II
DASAR TEORI

Viskositas dapat dinyatakan sebagai tahanan aliran fluida yang merupakan gesekan antara molekul – molekul cairan satu dengan yang lain. Suatu jenis cairan yang mudah mengalir, dapat dikatakan memiliki viskositas yang rendah, dan sebaliknya bahan-bahan yang sulit mengalir dikatakan memiliki viskositas yang tinggi. Viskositas pada zat cair disebabkan oleh adanya gaya kohesi yaitu gaya tarik menarik antara molekul sejenis (Sarojo, 2009).
Fluida yang lebih cair biasanya lebih mudah mengalir, contohnya air. Sebaliknya, fluida yang lebih kental lebih sulit mengalir, contohnya minyak goreng, oli, madu. Hal ini bisa dibuktikan dengan menuangkan air dan minyak goreng di atas lantai yang permukaannya miring. Pasti air mengalir lebih cepat daripada minyak goreng atau oli. Tingkat kekentalan suatu fluida juga bergantung pada suhu. Semakin tinggi suhu zat cair, semakin kecil viskositas zat cair tersebut. Misalnya ketika ibu menggoreng paha ikan di dapur, minyak goreng yang awalnya kental menjadi lebih cair ketika dipanaskan. Sebaliknya, semakin tinggi suhu suatu zat gas, semakin kecil viskositas zat gas tersebut ( Rosiana, 2005).
Viskositas cairan naik dengan naiknya tekanan, sedangkan viskositas gas tidak dipengaruhi oleh tekanan. Viskositas akan turun dengan naiknya suhu, sedangkan viskositas gas naik dengan naiknya suhu. Pemanasan zat cair menyebabkan molekul-molekulnya memperoleh energi. Molekul-molekul cairan bergerak sehingga gaya interaksi antar molekul melemah. Dengan demikian viskositas cairan akan turun dengan kenaikan temperatur.
Adanya bahan tambahan seperti bahan suspensi menaikkan viskositas air. Pada minyak ataupun gliserin adanya penambahan air akan menyebabkan viskositas akan turun karena gliserin maupun minyak akan semakin encer, waktu alirnya semakin cepat. Viskositas naik dengan naiknya berat molekul. Misalnya laju aliran alkohol cepat, larutan minyak laju alirannya lambat dan kekentalannya tinggi serta laju aliran lambat sehingga viskositas juga tinggi. Viskositas akan naik jika ikatan rangkap semakin banyak (Rao, 2003).
Viskositas merupakan ukuran kekentalan fluida yang menyatakan besar kecilnya gesekan di dalam fluida. Semakin besar viskositas (kekentalan) fluida, maka semakin sulit suatu fluida untuk mengalir dan juga menunjukkan semakin sulit suatu benda bergerak di dalam fluida tersebut. Di dalam zat cair, viskositas dihasilkan oleh gaya kohesi antara molekul zat cair. Sedangkan dalam gas, viskositas timbul sebagai akibat tumbukan antara molekul gas. Zat cair lebih kental (viskositasnya) daripada gas, sehingga untuk mengalirkan zat cair diperlukan gaya yang lebih besar dibandingkan dengan gaya yang diberikan untuk mangalirkan gas.

Bila sebuah bola yang massa jenisnya lebih besar daripada massa jenis fluida dan berjari-jari r, dimasukkan ke dalam suatu fluida zat cair, maka bola tersebut akan jatuh dipercepat sampai suatu saat kecepatannya maksimum (Vmaks). Pada kecepatan Vmaks ini, benda akan bergerak beraturan karena gaya beratnya sudah diimbangi oleh gaya gesek fluida.


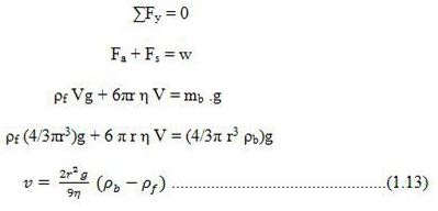
Menurut George Stokes besarnya gaya gesek pada fluida inilah yang disebut gaya stokes dengan koefisien viskositasnya η dengan konstanta k = 6πr. Sehingga gaya gesek (gaya stokes) dapat dirumuskan sebagai:



Jika sebuah benda berbentuk bola jatuh bebas dalam suatu fluida kental (gambar 1.17), kecepatannya akan bertambah karena pengaruh gravitasi bumi sehingga mencapai suatu kecepatan terbesar yang tetap. Kecepatan terbesar yang tetap tersebut dinamakan kecepatan terminal. Pada saat kecepatan terminal tercapai, berlaku keadaan:



Dengan :
v  = kecepatan terminal (m/s)
η = koefisien viskositas fluida (Pa s)
r = jari-jari bola (m)
g = percepatan gravitasi (m/s2)
ρb = massa jenis bola (kg/m3)
ρf   = massa jenis fluida (kg/m3)



BAB III
METODE PERCOBAAN

     A.   Rancangan Percobaan
               
      Gambar 4.  Rancangan percobaan suhu dan viskositas


        B.    Alat dan Bahan
        Alat:
1.      Gelas panjang 60cm                1 buah
2.      Kelereng                                  5 buah
3.      Stopwatch                               1 buah
4.      Kompor Listrik                        1 buah
5.      Jangka sorong                          1 buah
6.      Neraca digital                           1 buah
7.      Termometer                              1 buah
Bahan:
1.      Minyak goreng                        500 ml
2.      Es batu                                    1 buah

      C.     Variabel yang digunakan
1.      Variabel Kontrol         : Volume fluida
2.      Variabel Manipulasi    : Suhu fluida (40°C, 35°C, 30°C, 25°C, 20°C)
3.      Variabel Kontrol         : Kecepatan dan waktu jatuhnya benda
   
       D.    Alur Percobaan
              


           E.    Langkah Kerja

Mengukur diameter kelereng dengan menggunakan jangka sorong. Menimbang massa kelereng dengan menggunakan neraca digital. Mendinginkan minyak goreng hingga mencapai suhu 20°C. Memasukkan kelereng ke dalam minyak goreng dan mencatat waktu yang ditempuh kelerang dengan jarak 50 cm. Menunggu suhu minyak goreng naik sampai 25°C, lalu melakukan kegiatan yang sama untuk mendapat waktu tempuh kelereng. Memanaskan minyak goreng sampai suhu 40°C dan melakukan kegiatan yang sama. Mengulangi langkah yang sama dengan suhu 35°C dan 30°C. 




BAB IV
DATA DAN ANALISIS

           A.    DATA
Berdasarkan percobaan Suhu dan Viskositas yang telah kami lakukan, diperoleh data sebagai berikut: 
Diameter kelereng (d) = 1,15 cm
Jari-jari kelereng (r)     = 0,575 cm
Volume kelereng (V)  = 0,79 cm3
Massa benda (m)         = 2 gr

        B.    ANALISIS
Berdasarkan percobaan suhu dan viskositas yang telah kami lakukan didapatkan data yaitu: dengan menggunakan bahan minyak goreng yang memiliki suhu 20°C, waktu yang ditempuh kelereng dengan jarak 50cm adalah 2,64 s dengan kecepatan kelereng 0,19 m/s dan viskositas minyak goreng 0,97 Pa.s. Untuk minyak goreng dengan suhu 25°C, waktu yang ditempuh kelereng dengan jarak 50cm adalah 2,13 s dengan kecepatan kelereng 0,23 m/s dan viskositas minyak goreng 0,55 Pa.s. Untuk minyak goreng dengan suhu 30°C, waktu yang ditempuh kelereng dengan jarak 50cm adalah 1,90 s dengan kecepatan kelereng 0,26 m/s dan viskositas minyak goreng 0,48 Pa.s. Untuk minyak goreng dengan suhu 35°C, waktu yang ditempuh kelereng dengan jarak 50cm adalah 1,83 s dengan kecepatan kelereng 0,27 m/s dan viskositas minyak goreng 0,46 Pa.s. Untuk minyak goreng dengan suhu 40°C, waktu yang ditempuh kelereng dengan jarak 50cm adalah 1,70 s dengan kecepatan kelereng 0,29 m/s dan viskositas minyak goreng 0,43 Pa.s.


         

BAB V
PEMBAHASAN

Berdasarkan analisis data di atas, hasil percobaan yang kami lakukan sesuai dengan teori bahwa semakin tinggi suhu zat cair, maka semakin kecil viskositas (kekentalan) zat cair tersebut. Viskositas pada zat cair tersebut dihasilkan oleh gaya kohesi antara molekul zat cair. Molekul-molekul cairan bergerak sehingga gaya interaksi antar molekul melemah. Viskositas cairan naik dengan naiknya tekanan, sedangkan viskositas akan turun dengan naiknya suhu. Pemanasan zat cair menyebabkan molekul-molekulnya memperoleh energi. Dengan demikian viskositas cairan akan turun dengan kenaikan temperatur. Kecepatan kelereng ketika dijatuhkan ke dalam zat cair yang sudah dipanaskan menjadi semakin cepat karena dipengaruhi oleh kenaikan temperature dan gravitas bumi sehingga waktu tempuh kelereng semakin sedikit.
Hal tersebut juga dapat dibuktikan dalam grafik hubungan antara suhu dan viskositas zat cair bahwa ketika suhu zat cair 20°C, diperoleh viskositas sebesar 0,97 Pa.s. Ketika suhu zat cair 25°C, diperoleh viskositas sebesar 0,55 Pa.s. Ketika suhu zat cair 30°C, diperoleh viskositas sebesar 0,48 Pa.s. Ketika suhu zat cair 35°C, diperoleh viskositas sebesar 0,46 Pa.s. Dan ketika suhu zat cair 40°C, diperoleh viskositas sebesar 0,43 Pa.s. Grafik tersebut menunjukkan bahwa semakin tinggi suhu zat cair, maka semakin kecil viskositas zat cair tersebut.



BAB VI
PENUTUP

Berdasarkan pembahasan di atas, kami dapat menyimpulkan bahwa suhu mempengaruhi besarnya kecepatan jatuhnya benda. Semakin tinggi suhu zat cair, maka semakin kecil viskositas zat cair tersebut. Kecepatan benda ketika dijatuhkan ke dalam zat cair yang sudah dipanaskan menjadi semakin cepat karena dipengaruhi oleh kenaikan temperature dan gravitas bumi sehingga waktu tempuh benda semakin sedikit.



DAFTAR PUSTAKA

Imfranroni. 2013. Pengaruh Suhu dan Konsentrasi Terhadap Viskositas. Online.
Ridwan. 2013. Viskositas da Hukum Stokes. Online.
Sutrisno. 2011. Hukum Stokes. Online.
(diakses pada 18 Mei 2014 pukul 20.00 WIB).



Laporan sementara suhu dan viskositas kelompok 5 Sains B 2012


Lembar Kegiatan Mahasiswa suhu dan viskositas kelompok 5 Sains B 2012


Lembar Kegiatan Mahasiswa suhu dan viskositas kelompok 5 Sains B 2012